TEMA 9 FAG
TEMA 9 FAG: NECESIDADES DE INVERSIÓN Y FINANCIACIÓN EN LA EMPRESA
1- La financiación empresarial
Flujo neto total de caja por unidad monetaria desembolsada o comprometida: determina las veces que se recupera el desembolso inicial con la suma de los flujos de caja que proporciona la inversión cada año.
Qi el sumatorio de los flujos de caja y el desembolso inicial A. inconvenientes:
Flujo neto medio anual de caja por unidad monetaria desembolsada o comprometida: utiliza el flujo medio anual en base de la duración de la inversión y lo relaciona con el desembolso:
Conduce a preferir las inversiones de corta duración y elevados flujos de caja, proporcionando resultados aceptables al comparar inversiones de igual o parecida duración. Compara las cantidades heterogéneas y no tiene presente el momento temporal en que se generan las rentas.
Plazo de recuperación o pay-back: indica el tiempo necesario para recuperar la inversión o desembolso inicial con los flujos previstos a largo de cada uno de los años de duración de la inversión. Tiene expresión analítica si los flujos son constantes:
Este método se calculará sumando las sucesivas cuasirentas y si la suma no es idéntica al desembolso, se supone que los ingresos se obtendrían de forma proporcional en el tiempo y aplicaríamos, en el último período una simple regla de tres. Las mejores inversiones son las de plazo de recuperación corto. Este método es discutible por:
Este método es adecuado para la valoración y selección de inversiones en ambientes o mercados de alta inestabilidad política y económica, se basa en liquidez más que en rentabilidad. Presenta inconvenientes:
A = Desembolso inicial
Qn = Cuasi-rentas
K1 = Coste de Capital o tasa de descuento
y si la tasa de descuento fuera constante:
y si los flujos son constantes:
en un proyecto de duración limitada. Si el proyecto es perpetuo:
según este criterio:
Ventajas del criterio:
Criterio de la Tasa Interna de Retorno TIR
Nos ofrece la rentabilidad del proyecto, que debe ser única e independiente del coste asumido por los recursos aportados.
Cuando el coste de capital es igual a la TIR se obtiene la misma rentabilidad por los recursos empleados que el coste que soportan y el VAN es cero:
Suponiendo los flujos de caja constantes y proyecto limitado en el tiempo:
1- La financiación empresarial
Las empresas para desarrollar su actividad necesitan invertir en crear una estructura económica (local, maquinaria, equipos informáticos, materias
primas, dinero en efectivo), que deben financiar con una estructura financiera (recursos propios o ajenos).
La empresa adquiere recursos para invertirlos en su
actividad productiva, esperando obtener los fondos
suficientes para remunerar a sus acreedores
(recursos ajenos) y además obtener un beneficio para
distribuir entre sus accionistas (recursos propios).
Si la empresa de forma sistemática no obtiene esta
recuperación, no sobrevive en el mercado.
La función financiera se ocupa de la captación y aplicación de
los fondos necesarios para desarrollar la actividad productiva.
2. El fondo de maniobra
En la empresa debe existir una relación entre el plazo de permanencia del activo y el plazo en que deber ser devueltos los fondos utilizados para financiar su adquisición. Parece lógico y sensato, que los activos no corrientes deben financiarse con capitales permanentes, y los activos corrientes con
pasivos corrientes.
A medida que trascurre el ciclo de explotación de la empresa, las
materias primas se transforman en productos, estos se venden y a
continuación se cobran.
Con este efectivo la empresa espera afrontar las deudas corrientes, pero las deudas corrientes han de pagarse en menos de un
año, mientras que no siempre todo el activo corriente se transforma
en efectivo en este periodo.
No siempre es fácil, rápido o barato convertir el activo corriente en dinero líquido, por lo que para que no existan problemas de
liquidez, debe tener suficiente dinero en efectivo para atender a los
distintos pagos, siendo prudente que exista un fondo de seguridad
que cubra los desajustes entre la corriente de cobros y la de pagos.
El ritmo de cobros puede no ser capaz de asumir el ritmo de pagos,
es necesario la existencia de un fondo de maniobra
Existen empresas que aunque tengan un fondo de maniobra negativo
no tienen ningún problema de liquidez.
Cobran a los clientes antes de lo que pagan a los proveedores, y en
ocasiones con una gran diferencia de tiempo.
Inditex, Carrefour, El Corte Inglés…funcionan como fondos de maniobra negativos y no sólo no tienen problemas financieros sino que obtienen una gran rentabilidad con ese funcionamiento.
3. El tipo de interés
Las decisiones referidas a la política de inversiones se denominan presupuesto de capital, y están muy condicionadas por criterios financieros.
Las personas y empresas prestan su dinero a cambio de una ganancia o interés.
Si solicito un préstamo por una cantidad determinada, dentro del plazo fijado devolveré devolveré esa cantidad más los intereses correspondientes.
5. Fuentes de financiación
Las fuentes de financiación se pueden clasificar desde diferentes criterios:
- Propiedad de los fondos.
Financiación propia (capital, beneficios no distribuidos…) o ajena (préstamos bancarios…).
- Permanencia.
Recursos permanentes (neto y exigible a largo plazo) o recursos a corto plazo (pasivo corriente).
- Origen.
Autofinanciación (la propia empresa se financia), o financiación externa (los fondos proceden del exterior)
4. Financiación a largo plazo
Si el plazo de vencimiento es superior a un año es financiación a largo plazo.
Se distingue entre la propia y la ajena.
Fuentes de financiación propia
No tienen plazo de amortización establecido, los acreedores son los propietarios de la empresa.
Aportaciones externas (no generadas por la empresa).
- El capital social. Inicialmente se constituye con las aportaciones de los socios. Si la empresa necesita financiación puede ampliar su capital social,
mediante nuevas aportaciones, de los socios actuales o captando nuevos.
- Las primas de emisión de acciones. Mayor importe del valor de emisión de las nuevas acciones respecto el valor nominal.
- Las subvenciones. Aportaciones de instituciones que apoyan el crecimiento empresarial en determinada zona o sector.
Aportaciones internas (generadas por la empresa).
- Resultados. Beneficio obtenido por la empresa
- Reservas. Son beneficios obtenidos por la empresa y que no han sido distribuidos entre sus propietarios.
- Remanentes. Beneficio que no ha sido repartido ni aplicado, porque todavía no se tiene claro su fin
Financiación a largo plazo: la financiación ajena
A diferencia de la propia, implican un plazo de amortización y el abono de intereses
.
- Empréstitos. Préstamo dividido en fracciones denominadas bonos. Si se emiten a menos de 18 meses se denominan letras o pagarés y cuando el
plazo es superior a los 10 años obligaciones.
En otros países a todos los activos de renta fija con plazo superior a un año se les llama bonos.
- Arrendamiento financiero (leasing). Contrato mediante el que un arrendador alquila un bien a una empresa (arrendatario), a cambio de unas cuotas
y con opción de compra al final del período. Permite disponer de activos sin necesidad tener fondos propios.
- Lease-back (retroaleasing). El titular del bien lo vende a una entidad de leasing (de esta forma obtiene liquidez) y realiza un contrato de leasing
(dispone del uso del bien) con opción de compra.
- Créditos y préstamos a largo plazo. El crédito implica obtener financiación hasta una cantidad, mientras el préstamo es de una cantidad.
- Renting. Servicio integral de alquiler de bienes sin opción de compra, por el que se paga una cuota fija durante la vigencia del contrato, incluyendo
todos los servicios de mantenimiento, seguros
5. Financiación a corto plazo
Son las obligaciones de pago que tienen un plazo de vencimiento inferior al año:
- Préstamo
El prestamista entrega una cantidad al prestatario, que debe devolver esa cantidad (principal) en el plazo estipulado, más los intereses pactados.
- Crédito
El cliente o deudor tiene a su disposición fondos hasta un límite determinado. Se pagan intereses por el capital que efectivamente se utilice de la línea
de crédito.
- Descuento bancario
Abono anticipado de un derecho de cobro. La entidad financiera adelanta el pago, pero descuenta del total intereses, gastos y comisiones. En caso de
que llegado el momento el deudor no pague, la entidad financiera reclama la devolución del abono adelantado más gastos y comisiones.
- Factoring
La empresa de factoring (“el factor”) compra el derecho de cobro asumiendo los riesgos del impago. Su coste es más elevado que el descuento bancario. La empresa cede por tanto la gestión de sus cobros. No confundir con el confirming (“reverse factoring”), en el que se cede a una empresa la gestión de los pagos.
- Crédito comercial
Muchas compras no se abonan en el acto, por lo que durante el tiempo los proveedores están financiando a la empresa.
6.Operaciones financieras
6.Concepto y clases de inversión
Invertir es utilizar fondos financieros para adquirir bienes y servicios para producir.
En un sentido mas amplio, el término se extiende a todo empleo de recursos cuyo objeto sea la obtención de una rentabilidad futura.
6.Operaciones financieras
EJERCICIOS
https://drive.google.com/file/d/0B84w6HHkgjgUTVM2Zno1azRGUlk/view
CAPITALIZACION.
1. Calcular el capital final que se obtendrá al colocar
1.250.000 euros en un depósito a 4 años si el tipo es del 5% anual simple.
2. Hace 3 años invertimos una cantidad al 4% de interés simple,
devolviéndonos 5.000.000 de euros. ¿Cuál fue la inversión inicial?
3. Calcular el descuento que aplica un banco a un efecto de
4.000.000 de euros si faltan 50 días para su vencimiento y el interés es del 5%
anual.
4. Por
necesidades de liquidez una empresa acude a una entidad financiera para
descontar una letra de 6.000 € que vence dentro de 2 años. ¿Qué efectivo
recibirá si el banco aplica un descuento del 5%?
5. Sabiendo que el descuento comercial de un efecto es de
18.000 euros, calcular el nominal si el tipo aplicado fue del 4,5 % durante 100
días.
6. Por necesidades de liquidez una empresa acude a una entidad
financiera para descontar una letra de 6.000 € que vence dentro de 3 meses.
¿Qué efectivo recibirá si el banco aplica un descuento del 5%?
7. La empresa “Gotera y Otilio, SL” para hacer frente al pago
de la nómina de sus empleados acude a su banco para descontar una letra de
8.000 euros que vence dentro de 8 meses. ¿Qué efectivo recibirá si el banco le
aplica un interés del 2,5%?
8 Don
Pantuflo Zapatilla abrió una cuenta corriente a nombre de sus dos hijos hace 30
años ingresando 8.000 euros. ¿De cuánto dinero podrán disponer Zipi y Zape al
final de ese período si el tipo de interés bancario es del 4,25% anual?
9. ¿Durante cuánto tiempo debemos mantener invertidos 250.000
euros para obtener un capital de 325.000 si el tipo de interés es del 3.5 %
anual?
10. ¿A qué tipo hemos invertido 150.000 euros durante 3 años para
recibir un capital de 162.375 euros?
11. Calcular el capital final de 600.000 euros al 3% anual simple
colocado durante:
a) 50 días, b) 5 semanas c) 6 semestres.
12. Hallar el capital inicial que produjo un capital final de
15.250.250 euros al 6 % compuesto durante 12 años.
13. ¿Qué tipo de interés transformó un capital de 3.000.000 en
otro de 4.658.908,27 durante 10 años?
14. ¿Qué capital final se obtendrá de invertir 1.500.000 durante 5
años al 2% semestral?
15. Con los datos anteriores, calcular el tipo de interés anual
que produce el mismo capital final capitalizando anualmente.
16. Calcular el capital resultante de invertir 9.000.000 de euros
al 3,5% anual durante 3 años, 5 meses y 20 días.
17. ¿Qué capital colocado al 6% anual durante 8 años se convierte
en 120.000 euros? ¿Cuánto valdrá ese capital al final del 4 año?
18. ¿Qué capital colocado al 4% anual durante 6 años se convierte
en 350.000 euros? ¿Cuánto valdrá ese capital al final del 4º año?
19. Calcular el capital final producido por 3.000 € colocados
durante 5 años al 4% anual compuesto.
20. ¿Qué capital colocado al 5 % durante 10 años se convierte en
97.734 €? ¿Cuánto valdría ese capital al final del tercer año?
21. ¿Qué capital colocado al 3% anual durante 6 años se convierte
en 210.000 euros? ¿Cuánto valdrá ese capital al final del 4º año?
22. Calcular el capital final producido por 1.000.000 € colocados
al 9% anual compuesto durante 4 años y 3 meses.
23. Un concesionario os ofrece de posibilidades para adquirir el
coche de vuestros sueños:
a)
Pago al contado de 15.000 euros
b)
Pago dentro de 5 años de 19.500 euros.
c)
Pago dentro de 3 años de 17.500 euros y 2.700 dentro de
6 años
¿Cuál de las
tres resulta más ventajosa teniendo en cuenta que se aplica un interés del 5%
anual compuesto?
PRÉSTAMOS
1. Elaborar el cuadro de amortización de un préstamo de 200.000
euros que tiene una duración de 3 años y un interés del 3% anual, utilizando el
método de anualidades constantes.
2. Elaborar el cuadro de amortización de un préstamo de 300.000
euros que tiene una duración de 3 años y un interés del 4% anual, utilizando el
método de cuotas constantes.
3. Filemón Pí solicita un préstamo de 50.000 € al banco “ABC”
con una duración de 4 años y un tipo nominal del 2% anual pagadero mediante
anualidades constantes. Construye el cuadro de amortización correspondiente.
4. Manolito solicita un préstamo de 15.000 € al banco “XXL” con
una duración de 4 años y un tipo nominal del 5% anual pagadero mediante cuotas
iguales. Construye el cuadro de amortización correspondiente.
Invertir es utilizar fondos financieros para adquirir bienes y servicios para producir.
En un sentido mas amplio, el término se extiende a todo empleo de recursos cuyo objeto sea la obtención de una rentabilidad futura.
- Según su relación con la estructura económica de la empresa:
– Inversiones fijas o del activo fijo.
– Inversiones de circulante o fondo de maniobra.
- Según su finalidad:
– Inversiones industriales y comerciales o aquellas que dotan a la empresa de una estructura técnica, apta para producir.
– Inversiones en investigación y desarrollo (I + D) o dirigidas para crear las bases de la innovación tecnológica.
– Inversiones sociales o destinadas a la mejora de las condiciones de trabajo y ambientales de la organización.
– Inversiones financieras, bien con el ánimo de controlar otras empresas, o bien para buscar rentabilidad a los excedentes financieros.
- Según los motivos de su realización:
– Inversiones de renovación de la estructura técnica, motivadas por el envejecimiento u obsolescencia de los activos que la componen.
– Inversiones de expansión de la actividad actual.
– Inversiones de innovación o de modernización del sistema técnico para mejorar la posición competitiva.
– Inversiones de diversificación o que tienen por objeto mejorar o defender la posición competitiva a través de la elaboración de nuevos productos y la venta en nuevos mercados. Las primeras son de carácter ofensivo y las segundas de tipo defensivo.
7. Elementos de un proyecto de inversión
a) Horizonte temporal o duración del proyecto (n)
Es la estimación sobre la vida que tendrá el
proyecto, esto es, el tiempo durante el cual estará absorbiendo o generando
fondos. Esta duración no se conocerá con certeza hasta que no finalice el
proyecto, por lo cual se basará en
estimaciones apoyadas en tres características:
- vida física: tiempo en que los activos básicos del
proyecto operan normalmente, es decir, sin pérdidas de calidad, de producción o
de rendimiento. A veces se equipara este concepto a la vida contable o período
hasta que se amortizan totalmente.
- vida comercial: es la vida de los productos o
servicios a cuya producción se va a dedicar el proyecto o lo que es lo mismo,
el tiempo durante el cual será demandado el bien o servicio ofrecido.
- vida tecnológica: es el período de tiempo que
transcurre hasta que los activos dejan de ser competitivos, haciéndose
obsoletos porque aparecen nuevas técnicas, procesos y equipos que desarrollan
la misma actividad.
b) Desembolso inicial o coste de la inversión (A)
Es la cantidad de recursos que debe pagar la empresa para llevar a
cabo el proyecto. Habitualmente se paga en el momento cero aunque pueden
existir ocasiones donde el pago se difiere. Comprende el precio de compra más
todos los gastos necesarios para la puesta en funcionamiento de la inversión,
es decir, el coste de instalación, transporte,
formación..., etc.
c) Movimiento de fondos.
Es la secuencia temporal de fondos absorbidos o
generados por el proyecto, se denomina cash-flow (flujo de caja) y lo podríamos
definir como la diferencia entre los cobros y los pagos de un periodo.
C = Corriente
de cobros del proyecto a lo largo del tiempo. Representa las entradas de
tesorería generadas por el proyecto.
P
= Corriente de pagos del proyecto.
Son las salidas de tesorería.
La
corriente de cobros y pagos de tesorería se suele unificar en una sola y es
denominada cash-flow o flujo de caja, concepto de suma importancia para el
análisis del proyecto: Q = C - P.
Para
facilitar el cálculo de la rentabilidad del proyecto se suele periodificar los
flujos tomando como período de trabajo el año, ya que es la duración de un
ejercicio económico en las empresas. De esta forma pasaremos de una óptica
continua a una periódica, y ello nos llevará a trabajar con rentas anuales.
Tanto
en este capítulo como en los siguientes, utilizaremos el siguiente esquema,
llamado diagrama temporal de flujos, y mediante el cual podemos representar
cualquier inversión:
-A Q1 Q2 Q3.. .Qn-1 Qn ___________________________________________________________________
0 1 2 3...
n-1 n
d) Valor residual (VR).
Es el valor de reventa del activo al final de la
vida del proyecto. Puede incluir pagos asociados a la terminación del mismo.
8. Métodos de selección de inversiones
Métodos Estáticos de Selección de Inversiones
métodos estaticos se caracterizan por no tener en cuenta la cronología de los distintos flujos de caja (momento en que se obtienen). Es una aproximación a la realidad del valor del proyecto, destaca la simplicidad en la aplicación y cálculo. Los métodos estáticos utilizados son:Flujo neto total de caja por unidad monetaria desembolsada o comprometida: determina las veces que se recupera el desembolso inicial con la suma de los flujos de caja que proporciona la inversión cada año.
Qi el sumatorio de los flujos de caja y el desembolso inicial A. inconvenientes:
- No tiene en cuenta los momentos en los que se obtienen los flujos, que las rentas disponibles producen intereses desde el principio hasta el final de la vida de la inversión → suma cantidades heterogéneas.
- La rentabilidad sería lo que excede de la unidad, para obtenerla debemos restarle 1 a la fórmula anterior.
- La rentabilidad viene referida a una base temporal anual. La fórmula anterior se refiere a toda la vida de la inversión.
Flujo neto medio anual de caja por unidad monetaria desembolsada o comprometida: utiliza el flujo medio anual en base de la duración de la inversión y lo relaciona con el desembolso:
Conduce a preferir las inversiones de corta duración y elevados flujos de caja, proporcionando resultados aceptables al comparar inversiones de igual o parecida duración. Compara las cantidades heterogéneas y no tiene presente el momento temporal en que se generan las rentas.
Plazo de recuperación o pay-back: indica el tiempo necesario para recuperar la inversión o desembolso inicial con los flujos previstos a largo de cada uno de los años de duración de la inversión. Tiene expresión analítica si los flujos son constantes:
Este método se calculará sumando las sucesivas cuasirentas y si la suma no es idéntica al desembolso, se supone que los ingresos se obtendrían de forma proporcional en el tiempo y aplicaríamos, en el último período una simple regla de tres. Las mejores inversiones son las de plazo de recuperación corto. Este método es discutible por:
- No considera los flujos obtenidos después del plazo de recuperación
- No tiene en cuenta la diferencia en los vencimientos de los flujos netos de caja obtenidos antes de alcanzar el plazo de recuperación.
Este método es adecuado para la valoración y selección de inversiones en ambientes o mercados de alta inestabilidad política y económica, se basa en liquidez más que en rentabilidad. Presenta inconvenientes:
- Suma rentas heterogéneas en el tiempo, una unidad monetaria tiene el mismo valor durante el primer año que la obtenida en el último año.
- Alcanzando el período de recuperación, las inversiones siguen produciendo flujos que este criterio no toma en consideración.
Métodos Dinámicos de Selección de Inversiones: VAN Y TIR
Son criterios dinámicos, tienen en cuenta la cronología de los flujos de caja, utilizan un procedimiento de actualización o descuento financiero de rentas para homogeneizar las cantidades recibidas en diferentes momentos temporales. Son métodos financieros.Criterio del valor capital VAN
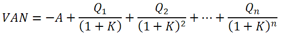
Se define como descuento de los futuros flujos de caja generados por el proyecto. Su metodología se basa en matemáticas financieras, en la traslación de rentas en el tiempo. Compara cobros y pagos derivados de los proyectos en el momento actual:A = Desembolso inicial
Qn = Cuasi-rentas
K1 = Coste de Capital o tasa de descuento
y si la tasa de descuento fuera constante:
y si los flujos son constantes:
en un proyecto de duración limitada. Si el proyecto es perpetuo:
según este criterio:
- Si el VAN es positivo, el proyecto aceptado y si el VAN negativo es rechazado.
- Si existen varios proyectos excluyentes se elige el que tiene el VAN mayor y siempre positivo.
Ventajas del criterio:
- Es un modelo dinámico que valora una firma desde la perspectiva futura
- Tiene presente el valor temporal del dinero
- Incorpora el concepto de coste de oportunidad determinados capitales de la empresa, capitales propios.
Criterio de la Tasa Interna de Retorno TIR
Nos ofrece la rentabilidad del proyecto, que debe ser única e independiente del coste asumido por los recursos aportados.
Cuando el coste de capital es igual a la TIR se obtiene la misma rentabilidad por los recursos empleados que el coste que soportan y el VAN es cero:
Suponiendo los flujos de caja constantes y proyecto limitado en el tiempo:








Comentarios
Publicar un comentario